Polymarket LP做市激励计划:机遇还是陷阱?
编者按:Polymarket LP激励计划引发热议
近期,Polymarket针对NCAA“疯狂三月”的LP激励相关帖子刷屏了各大社交平台。与此同时,官方成员透露将于下周一公布重大消息,社区猜测可能涉及融资或发币信息。在SEC与CFTC扫清加密平台空投障碍后,POLY代币成为市场关注的焦点,而LP做市可能成为空投的关键指标之一。
正面观点:Polymarket LP激励计划的四大分类
Polymarket近期低调升级了其激励机制,重心转向流动性提供者(LP)。过去几年,该平台一直实行“零交易费”策略,但自今年年初悄然引入特定押注事件的手续费,并推出两大做市商奖励计划。
表面上看,交易费收取对交易用户不利,但实际上,这是为了解决预测市场的核心痛点——流动性难题。新的收费结构旨在资助激励项目,奖励提供限价单并保持订单深度的用户,从而带来更窄的利差、更丰富的订单簿以及更好的交易体验。
Part I. 新吃单费机制全解析
绝大部分Polymarket市场依然完全免费,存款、提现和交易(绝大多数事件市场)依然零平台费。交易费用目前只针对吃单(taker order)一方,覆盖以下三类市场:
- 所有Crypto涨跌市场(15min、5min、1H、4H、日、周等)
- NCAAB(美国大学篮球联赛)
- Serie A(意甲足球)
重点在于,吃单费用只对费用激活日期后创建的市场生效,此前的已有押注事件不受影响。

Part II. 做市商激励计划(限价单执行奖励)
该部分的激励仅覆盖已收取吃单费的市场。这意味着,只有被交易者吃掉的限价单才能拿到对应奖励,单纯挂单不成交不算。
奖励金额的计算方式与吃单者费用相同。每位参与者的奖励与其交易量成比例,总奖金池由部分收取的费用组成(Crypto市场的20%、体育押注事件的25%)。
Part III. 流动性激励(闲置订单激励)
第二套激励系统由Polymarket平台提供,适用于所有押注事件(包括不收取手续费的押注事件)。核心区别在于不需要订单成交,只要挂在订单簿上提供流动性就能赚钱。

Part IV. 赞助LP激励
第三种机制允许任何人用USDC直接给特定市场加LP激励,吸引LP进来做市。赞助者可随时投入或撤出资金,未消耗的资金将自动退回。

反面观点:LP激励或为平台骗局?
尽管正面观点认为LP激励计划是优化流动性的关键,但也有分析师指出,这可能是平台设下的“付费亏钱”陷阱。
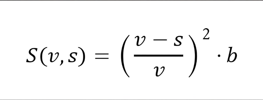
LP的真相:另外一种形式的“付费亏钱”?
多位LP直言,当前Polymarket的LP机制本质上是“花钱换亏本”。问题出在排行榜将LP奖励直接计入盈亏数据展示,却对“LP磨损”这一关键概念只字不提。
专业做市商为何不愿进场?
专业做市商普遍回避Polymarket的LP做市,核心原因在于内幕交易风险真实存在。有效的LP运营需要复杂的自动化风控体系,而低门槛高回报的LP神话只有在平台持续补贴的前提下才成立。
真正可行的三大解法
为了改善现状,Polymarket可以考虑以下三种方法:
- 对利润征收1%的固定手续费
- 用POLY代币构建原生流动性池
- 在扩展产品上收费,而非核心产品






